
分数乘法与分数除法的运算,是小学六年级数学计算最重要的组成部分,是整数、小数乘除向分数乘除运算的一个重大转变。使学生的计算能力更加全面,不再仅限于整数于小数范围内。自此,走出了一条更加宽广的运算之路,也使计算能力大大地得到提升。
分数乘法,其简要的意义与整数乘法的意义相同,即是求几个相同分数之和的简便运算形式。分数乘整数时,用分数的分子和整数相乘的结果作为分子,分母保持不变;而分数乘分数,则是分子乘以分子的积作为分子,分母乘以分母的积作为分母(分母不能为零)。
分数除法,是分数乘法的逆运算。想要学好分数除法,先要认清楚“一个数的倒数”。那什么是倒数呢?就是乘积为1的两个数叫做互为倒数。在分数除法的运算中,如若甲数除以乙数(0除外),就等于甲数乘乙数的倒数。
在分数乘除的混合运算中,其运算的顺序和整数混合运算的顺序是相同的,其基本运算法则就是:先算乘除,后加减;有括号的先算括号里面的。同样,如果题目适用运算定律的,就可以用上运算定律,使一些计算简便很多。
接下来,我们便精编32道分数运算的题目,来进行分析和讲解。


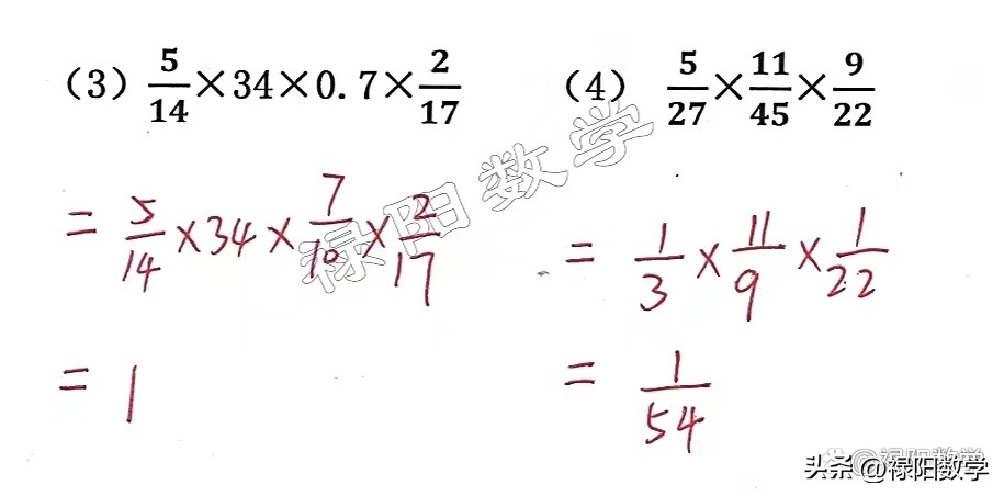
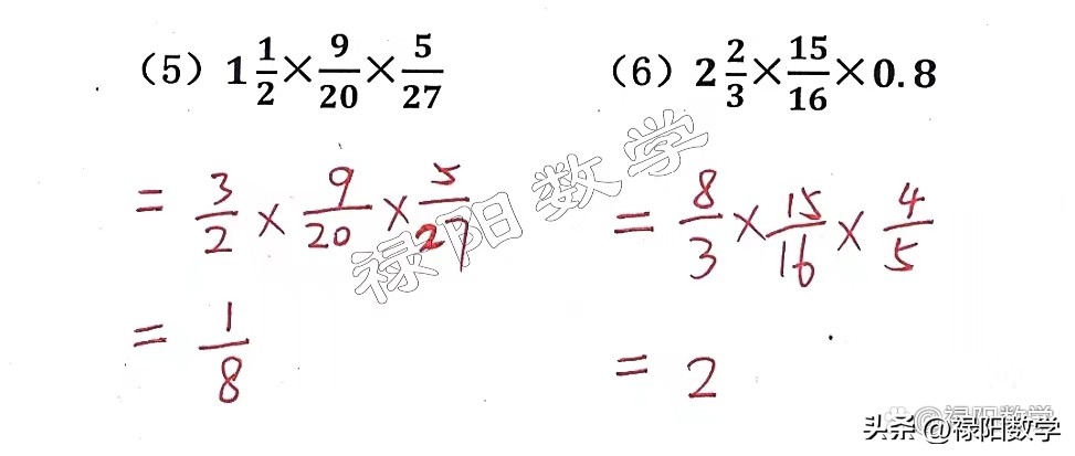
在分数相乘的过程中,注意可以将小数先化为分数,然后能约分的可以先约分再计算。这样的计算结果虽然相同,但是会更加简便。






【分析总结】
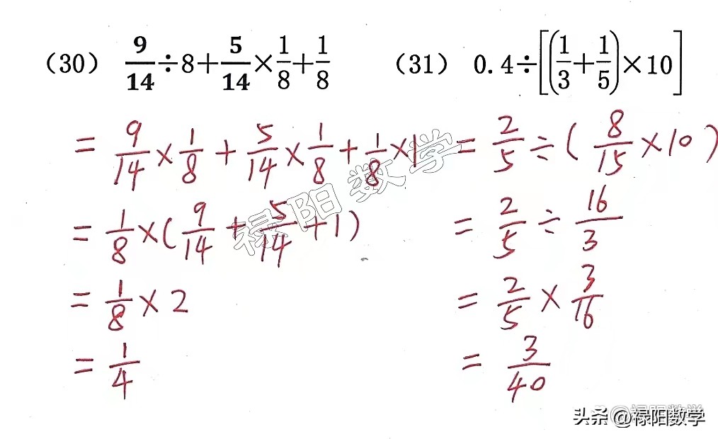
分数加减与乘法混合运算,需要遵循运算顺序,先乘法,再加减,有括号要先算括号里面的。同样的,可以将小数先化为分数,能约分的可先约分再计算,可使计算过程更加简便。



【分析总结】
在分数除法的计算中,甲数除以乙数(0除外),就等于甲数乘以乙数的倒数。特别的,题目中含有小数的,要先化为分数,然后再进行倒数变换,最后将分数除法变为分数乘法来运算。






【分析总结】
在分数加减乘除的混合运算中,除了要理清楚运算法则和计算顺序外,还同样可以结合简便的运算定律来进行相关的分数计算。尽可能简便的,便用简便运算。




发表回复