圆面积公式的推导,中间包含有朴素的极限、积分思想(无穷切割到无穷小后累加)和微积分思想。当然,该公式包含π,自然是以圆周公式2πr为基础。
1 圆面积夹逼于内切和外四边形
如下图,圆的面积应该大于内切四边形面积:
,小于外切四边形的面积

比较接近于
系数分别是2和4,圆周长是半径以π为线性关系,圆面积呢?
2 化圆为长方形
如下图,对圆做分割后可以组合成一个近似长方形:

3 化圆为n个三角形
如下图,先从一个常量开始,切分为24个扇形:

推广到切分为n个扇形:

4 化圆为三角
把圆分成n个大小递减的圆环可以堆叠成一个三角形:

每个圆环面积 ≈ 每个长方形面积
当n→∞时,把这些圆环的面积加起来就是圆的面积。
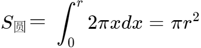
用微积分描述就是:

5 利用极限
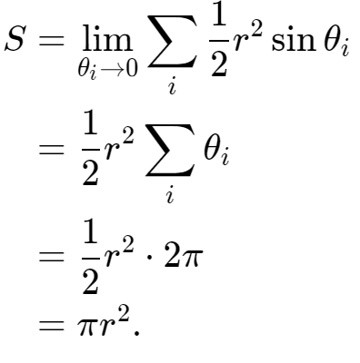
先来看怎样利用三角函数求圆内三角形面积,如下图:

S_蓝色三角形 =
当三角形切分得越来越多,
趋于无穷小,利用极限求和,可得圆面积公式:
其中利用极限
来计算:

也可以用以下过程来推理:
n→+∞时,a→0
以上切分三角形,其实也是切分正n边形的思想,一个正n边形,对应n个相同三角形:

也就是古老的割圆术:

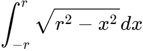
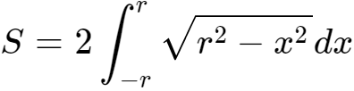
6 利用微积分
圆心在原点,半径为
的圆方程为

时,
是一一对应关系,可以看出函数
基本微积分知识告诉我们,当我们求积分

时,就是求半圆的面积,于是利用对称性,我们可知

可以利用第一换元积分法等方法求出该积分的值,最后结果就是
ref:




发表回复