杜肯索斯(武汉)空气分布系统有限公司 谢天鹏 杜泽

风管得热与温升
气流在风管内传输流动时,管内的低温气体,由内外温差作用,通过风管管壁与外界发生热交换。此而引起的管道内部气流温度的变化称为风管温。为减缓这种现象造成的冷量损失,通常在风管管壁加装保温层来增加两侧流体之间的热阻。
(1)风管得热
制冷工况时,从风管的入口端到末端,管内气体过管壁获得热量,温度升高。风管内气流通过壁面与外界空气热交换的获得的热量为:
式中:Q 为获得总热量,kJ;C 为空气定压比热,kJ/(kg·℃);G 为管道内风量,kg/s;Δt 为管道温升,℃。
(2)风管温升
从入口到末端,管内气体获得的热量,等于从管壁传入的热量。假定入口风温为 t0,出口风温为 ts,则可似取平均温度 tavg 为:

式中:N 为风管周长平均值,m;L 为风管长度,m;ta 为围空气(环境)温度,℃;K 为传热系数,W/(m2·℃);R保温管道的热阻,m·2 ℃/W
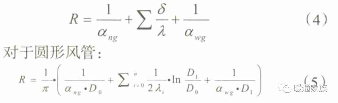
对于矩形风管:

式中:αng 为内壁换热系数,W/(m2·℃);αwg 为外壁换热系数,W/(m2·℃);δ 为保温层厚度,m;D0 为风管内径,;D1 为风管外径,m;λ0、λ1、λ2……为组成风管主体的层基材的导热系数,W/(m·2 ℃)。
由于外层的聚酯层贴面与内层的防火层贴面的料厚度通常为 0.2 mm 甚至更薄,相对于中间的橡塑保温层来说保温作用可忽略不计,因此为了简化计算考虑可认为此两层结构的导热热阻为 0,因此式(4)、(5)可简化为式(6)、(7):

外壁换热系数 αwg,取决于壁面粗糙度、外界工况件等,对于户外场所,外壁面换热系数一般取值 8.14W/(m2·℃) (也有学者给出的数值取值范围为 8~10W/(m2·℃)),内部气流与风管内部接触且高速流动,内壁表面换热系数远大于外壁换热系数,因此 项可似趋近于 0,用于简化计算时可按 0 值处理。

保温厚度计算
计算保温层厚度,通常采用防凝露法。防凝露法算保温厚度的思路是,认为外壁面的最低温度,最等于当地环境的露点温度,以使风管外表面不发生露现象。
因此,决定保温层厚度的因素有:
1)风管外表面温度应高于管壁外围环境空气的露点温度。
2)为保证最端的送风效果,风管的末端的温度不得高于可接受最高送风温度。
(1)板材及矩形风管的计算
对于保温板材及矩形风管:

对于圆形风管:

D1 由下式计算:

式中:δ 为保温材料的厚度,m;tw 为风管外表面温度,℃。
(2)椭圆形风管计算
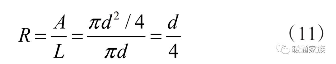
对于截面为原型的风管,其几何直径与水力半径换算公式为:

式中:R 为水力半径;A 为管道截面积;L 为管道湿周; 为管道直径,即 d=4R。
与圆形风管相对比,椭圆形风管的当量直径 dε 用水力半径表示为:

式中:dε 椭圆管道当量直径;a 为椭圆长半径;b 为椭圆半径。
求出椭圆形管道当量直径后,通过式(11)将当量直径换算层等效的水力半径,椭圆形管道当量直径代圆形管道计算式(10)即可。

计算示例
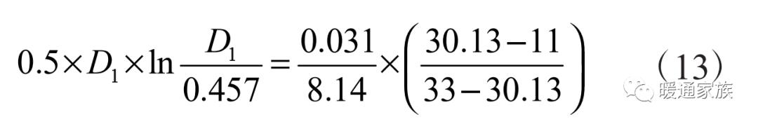
某处于室外环境的内径 457 mm,长度 20 m 的橡塑复合风管,入口风速为 8 m/s,送风温度 11 ℃,环境度 33 ℃,环境湿度 85%,拟采用的橡塑复合风管的热系数为 0.031 W/(m·K)。树上鸟教育暖通设计在线教学杜老师。
(1)保温厚度计算
根据环境温度与环境湿度,查表或计算得到环境点温度 td 为 30.13 ℃。根据式(10),计算得到外径 D1算过程如下:

求解得:D1=0.505 m。根据式(9),得到保温厚度 δ 24 mm。即选用 24 mm 厚度规格的柔性保温风管即避免风管外表面发生凝露现象。
(2)温升计算
11 ℃时,空气的定压比热可取为 1.025 kJ/(kg·K),度可取为 1.24 kg/m3,根据式(7),求解得:热阻 R=.5902 m·2 ℃/W。
根据式(2)、式(3)计算得:ts=11.665 ℃,则此 20 m度管段温升为 0.665 ℃。
结语
本文通过对常见的矩形、圆形的橡塑复合风管的温厚度及温升计算方法进行推导,并通过具体的计算案例详述了数值计算过程,通过当量直径的替代的方法把此计算过程扩充到扁圆形管型。计算过程中根实际情况进行了部分数值的简化、取值,并详述了原阐述。通过本文的综合分析,得到了如下的结论:
1)防凝露法选型是橡塑复合风管厚度选型的快捷用的方法。
2)由于内外贴面层的厚度远小于中间的橡塑保温,计算风管温升时对此两层结构的传热热阻进行忽,以用于简化计算的过程是可取的。
3)由于通风管道内部的流速一般情况下大于m/s,绝大部分常规送风状态时风管内部流动处于紊及湍流状态,内部气流与风管内发生强烈热交换,风内壁与内部气体的表面换热热阻远小于橡塑保温的导热热阻,因此计算值对管道内部与气流交界面换热热阻按 0 值处理也是可取的。




发表回复